Home » Products » Modified Cyclodextrin » Piroxicam-Beta-cyclodextrin

Product Category

loading

Share to:
facebook sharing button
twitter sharing button
line sharing button
wechat sharing button
linkedin sharing button
pinterest sharing button
whatsapp sharing button
sharethis sharing button

Piroxicam-Beta-cyclodextrin

Availability:
Quantity:
Product Description
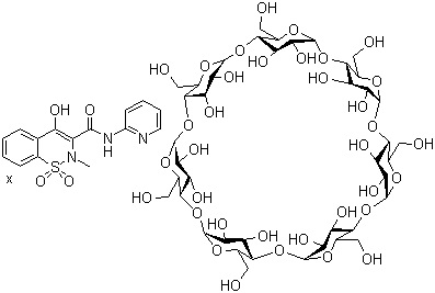
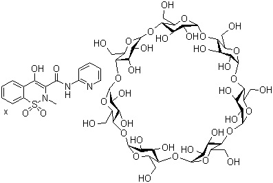
Product Name: Piroxicam-Beta-cyclodextrin
Cas No: 96684-39-8
Synonyms:

beta-Cyclodextrin, compd. with 4-hydroxy-2-methyl-N-2-pyridinyl-2H-1,2-benzothiazine-3-carboxamide 1,1-dioxide;Chf 1194;Chf-1194;PiroxicaM-beta-cyclodextrin coMplex;Cycladol;PiroxicaM-β-cyclodextrin complex

Structural Formula: buy Piroxicam-Beta-cyclodextrin PBCD 96684-39-8
Molecular Formula: C42H70O35.xC15H13N3O4S
Molecular Weight: 1466.333
Technical Spec.:
Item
Quality Index
Appearance
Slight yellow powder
Assay
>=10%
Application

1.Piroxicam beta-cyclodextrin(Cas#96684-39-8),also known as inflammatory pain,is a process unique, according to a certain proportion of the pharmaceutical grade of piroxicam with pharmaceutical grade-β-cyclodextrin inclusion is refined, the inclusion complexes with piroxicam monomer phase comparison, has less odor, more stable, more stable medicine releasing speed, mainly used in anti-inflammatory analgesic drugs.


2. Piroxicam-beta-cyclodextrin(Cas#96684-39-8) in the treatment of acute pain of rheumatic disease.Piroxicam-beta-cyclodextrin (PBCD) is a new formulation in which piroxicam has been complexed with beta-cyclodextrin, a cyclic oligosaccharide. This results in an increase in the rate of absorption of the active compound and, consequently, in an earlier onset of analgesic action. PBC, like piroxicam, is administered once daily. PBCD has been used in the treatment of osteoarthritis.


Previous: 
Next: 
Phone:
+86-21-69895597
Address:
Rm 327,3rd Floor D Zone,No.33,Lianxin Rd.,Liantang Town,Qingpu Dist.Shanghai China
About Us
Tocosynth is the Chinese dosmetic susidiary company of Tocopharm,who mainly R&D and manufacturing chemicals raw materials based in Shanghai,China.Our company was established in 2012.
Subscribe
Sign up for our newsletter to receive the latest news.


Copryright © 2023 Tocopharm(Shanghai) Co., Ltd. Technology by Leadong.Sitemap